Заграждающие (режекторные) фильтры
Для выборочного подавления составляющих определенных частот необходим фильтр, коэффициент передачи которого на резонансной частоте равен нулю, а для нижних и верхних частот имеет постоянное значение. Такой фильтр называется заграждающим. Для оценки избирательности введем добротность подавления сигнала Q = fр/Df, где Df – полоса частот, на краях которой коэффициент передачи падает на 3 дБ. Чем больше добротность фильтра, тем быстрее возрастает коэффициент передачи при удалении от резонансной частоты.
Передаточную функцию заграждающего фильтра можно получить из передаточной функции ФНЧ с помощью преобразования в частотной области заменой:
![]() |
(19) |
Здесь DW= 1/Q, как и ранее, нормированная полоса частот. В результате такого преобразования АЧХ фильтра нижних частот из области 0 < W < 1 переходит в область пропускаемых частот 0 < W < W1заграждающего фильтра. Кроме того, она зеркально отображается в логарифмическом масштабе относительно резонансной частоты. Для резонансной частоты W = 1 значение передаточной функции равно нулю. Как и в случае полосовых фильтров, при преобразовании порядок фильтра удваивается.
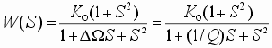
Применив преобразование (19) к передаточной функции ФНЧ первого порядка (10), получим:
![]() |
(20) |
Подставив jW вместо S в выражение (20), получим частотную характеристику заграждающего фильтра.
| Оглавление | Следующая страница --> |

