Триггер Шмитта неинвертирующий (а) и инвертирующий (б)
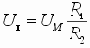
Переходная характеристика компаратора имеет гистерезис, ширина которого равна удвоенному пороговому напряжению 2Uп, причем для схемы на рис. 32а
![]() |
(36) |
а для схемы на рис. 32б
![]() |
(37) |
где Uм – выходное напряжение насыщения усилителя.
| Оглавление | Следующая страница --> |

