Интегратор с цепью задания начальных условий
После замыкания ключа S1 и размыкания ключа S2 интегратор начинает интегрировать напряжение U1, начиная со значения (2). Фирма Burr-Brown выпускает двухканальный интегратор ACF2101 со встроенными интегрирующими конденсаторами емкостью 100 пФ ключами сброса и хранения . Входные токи усилителей не превышают 0,1 пА.
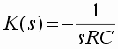
Используя формулу для определения коэффициента передачи инвертирующего усилителя и учитывая, что в схеме на рис. 2 R1=R, a вместо R2 включен конденсатор с операторным сопротивлением Z2(s)=1/(sC), можно найти передаточную функцию интегратора
![]() |
(2) |
Подставив в (2) s=jw , получим частотную характеристику интегратора:

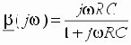
Устойчивость интегратора можно оценить по частотным характеристикам петли обратной связи, причем в этом случае коэффициент передачи звена обратной связи будет комплексным:

Для высоких частот b стремится к 1 и его аргумент будет нулевым. В этой частотной области к схеме предъявляются те же требования, что и к усилителю с единичной обратной связью. Поэтому здесь также следует ввести коррекцию частотной характеристики. Чаще для построения интегратора используют усилитель с внутренней коррекцией. Типичная ЛАЧХ схемы интегрирования на ОУ приведена на рис. 4. Постоянная интегрирования t = RC принята равной 100 мкс. Из рис. 4 видно, что при этом минимальное усиление цепи обратной связи составит |Kп|=|bKU| @ 600, т.е. будет обеспечена погрешность интегрирования не более 0,2%, причем не только для высоких, но и для низких частот.
