Схема измерительного усилителя на трех ОУ
Как видно из рис. 23, напряжение на резисторе R1 составляет U1 – U2. Отсюда следует,что

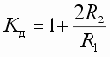
Эта разность преобразуется дифференциальным усилителем на ОУ3 в напряжение Uвых относительно земли. Обычно выбирается R2 = R3 и R4 = R5 = R6 = R7. В таком случае дифференциальный коэффициент усиления

Коэффициент усиления синфазного сигнала (из-за разбаланса резисторов):
![]() |
(29) |
Коэффициент усиления синфазного сигнала (из-за конечного значения КОСС ОУ3):
КСФ2 = 1/КОССОУ3 | (30) |
Общий КОСС измерительного усилителя определяется соотношением (28).
Пример 2. Пусть в схеме на рис. 23 R1= 1 кОм,R2 = R3 = 50 кОм, R4 = R6 = R7 = 10 кОм. Сопротивление резистора R5 отличается от номинального значения 10 кОм на 1% и составляет 9,9 кОм. Тогда дифференциальный коэффициент усиления схемы равен 101, а КОСС – 20200, что выше, чем в предыдущем примере.
Измерительные усилители на трех ОУ выпускаются в виде ИМС с внутренними согласованными резисторами (AD623, LM363, ICL7605 и др.). Обычно они имеют выводы для подключения внешнего резистора R1, которым задается дифференциальный коэффициент усиления. Например, измерительный усилитель INA118 фирмы Burr-Brown имеет низкое смещение нуля Uсм = 50 мкВ, широкий диапазон напряжений питания (+/-1,35 ... +/-18 В) и входных напряжений (до +/-40 В), малый потребляемый ток – 0,35 мА и широкий диапазон коэффициентов усиления (1 – 10000), устанавливаемых одним внешним резистором. В табл. 1 представлены основные характеристики некоторых моделей измерительных усилителей.