Схема простейшего измерительного усилителя
Дифференциальный коэффициент усиления при выполнении указанного выше условия

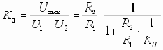
Коэффициент усиления синфазного сигнала, обусловленный рассогласованием резисторов, равен
![]() |
(26) |
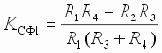
Коэффициент усиления синфазного сигнала, обусловленный конечным значением КОСС операционного усилителя, равен
![]() |
(27) |
Здесь КОСС выражается отношением, а не в децибелах.
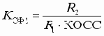
Коэффициент ослабления синфазного сигнала всей схемы:
КОСС =КД/(КСФ1 + КСФ2). | (28) |
Дифференциальное входное сопротивление:
Rвх.д=R1 + R3.
Поскольку, как это следует из (26), КСФ1 может принимать отрицательные значения и зависит от сопротивлений резисторов схемы, подстройкой резистора R3 может быть достигнуто любое сколь угодно большое значение КОСС, в соответствии с выражением (28).
Пример 1. Пусть в схеме на рис. 22 R1=R3=2 кОм,R4=200 кОм. Сопротивление резистора R2отличается от номинального значения 200 кОм на 1% и составляет 198 кОм. Тогда дифференциальный коэффициент усиления схемы равен 100, а КОСС – 10100, что во многих применениях недостаточно.
Эта простейшая схема имеет низкое входное сопротивление. Выходное сопротивление источника сигнала влияет на величину дифференциального коэффициента усиления и на коэффициент ослабления синфазного сигнала, что почти всегда требует точной настройки параметров схемы. Для изменения коэффициента усиления нужно одновременно менять сопротивления двух резисторов. Занимающая ведущее место в мире по выпуску измерительных усилителей фирма Burr-Brown выпускает несколько моделей ИМС измерительных усилителей, построенных по схеме на рис.22. Такие ИМС как INA133, INA143 имеют фиксированный коэффициент усиления, задаваемый встроенными резисторами и высокое значение КОСС (до 86 дБ), достигаемое за счет лазерной подгонки. ИМС INA145, INA146 включают дополнительный неинвертирующий усилитель, коэффициент усиления которого может задаваться внешними резисторами. Микросхемы измерительных усилителей содержат цепи защиты входов, допускающие, например, у INA146 синфазные и дифференциальные напряжения до 100 В.
Оглавление | Следующая страница --> |