Устройства на операционных усилителях



Схема фильтра второго порядка, построенного на основе метода переменных состояния


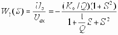
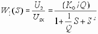
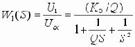
    причем Q=R1/RQ, K0=R1/RK. Таким образом, на рис. 21 приведена схема полосового фильтра, параметры которого могут регулироваться независимо друг от друга. Найдем передаточные функции этой схемы относительно выходов U1, U2 и U3. Из (25) с учетом (24) получим:




Схема фильтра второго порядка, построенного на основе метода переменных состояния
,

Схема фильтра второго порядка, построенного на основе метода переменных состояния
,

Схема фильтра второго порядка, построенного на основе метода переменных состояния
.

    т.е. схема на рис. 21 в зависимости от того, к какой точке схемы подключен выход, может служить также фильтром нижних частот, фильтром верхних частот и заграждающим фильтром.

    Подобные фильтры выпускаются в виде ИМС многими фирмами, например, AF100/150 (National Semiconductor), LTC1562 (Linear Technology) или МАХ274/275 (Maxim). Они имеют перестраиваемую частоту среза до нескольких сотен килогерц, порядок вплоть до восьмого и зачастую программируемый тип фильтра. Недостатком этих схем является необходимость в большом количестве внешних высокоточных элементов. От этого недостатка свободны фильтры на коммутируемых конденсаторах.





Содержание раздела



Оглавление Следующая страница -->