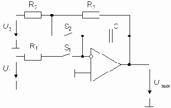
Схема инвертирующего интегратора
По первому закону Кирхгофа с учетом свойств идеального ОУ следует для мгновенных значений: i1
= - ic. Поскольку i1 = u1/R1, а выходное напряжение схемы равно напряжению на конденсаторе:

то выходное напряжение определяется выражением:

Постоянный член uвых(0) определяет начальное условие интегрирования. С помощью схемы включения, показаной на рис.3, можно реализовать необходимые начальные условия. Когда ключ S1 замкнут, а S2 разомкнут, эта схема работает так же, как цепь, изображенная на рис.2. Если же ключ S1 разомкнуть, то зарядный ток при идеальном ОУ будет равен нулю, а выходное напряжение сохранит значение, соответствующее моменту выключения. Для задания начальных условий следует при разомкнутом ключе S1 замкнуть ключ S2. В этом режиме схема моделирует инерционное звено и после окончания переходного процесса, длительность которого определяется постоянной времени R3C, на выходе интегратора установится напряжение
Uвых = -(R3 / R2)U2. | (1) |
