Активный фильтр нижних частот второго порядка
Расчет схемы существенно упрощается, если с самого начала задать некоторые дополнительные условия. Можно выбрать коэффициент усиления a = 1. Тогда (a – 1)R3 = 0, и резистивный делитель напряжения в цепи отрицательной обратной связи можно исключить. ОУ оказывается включенным по схеме неинвертирующего повторителя. В простейшем случае он может быть даже заменен эмиттерным повторителем на составном транзисторе. При a = 1 передаточная функция фильтра принимает вид:

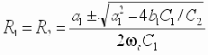
Считая, что емкости конденсаторов С1 и С2 выбраны, получим для заданных значений а1 и b1 (см. (13)):
K0 = 1,

Чтобы значения R1 и R2 были действительными, должно выполняться условие

Расчеты можно упростить, положив R1 = R2 = R и С1 = С2 = С. В этом случае для реализации фильтров различного типа необходимо изменять значение коэффициента a. Передаточная функция фильтра будет иметь вид

Отсюда с учетом формулы (13) получим


Из последнего соотношения видно, что коэффициент a определяет добротность полюсов и не влияет на частоту среза. Величина a в этом случае определяет тип фильтра.
Поменяв местами сопротивления и конденсаторы получим фильтр верхних частот (рис. 18). Его передаточная функция имеет вид:

