Реализация активных фильтров на основе метода переменных состояния
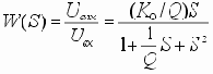
В схемах фильтров, рассмотренных выше, используется минимальное число элементов (один операционный усилитель на два полюса передаточной функции). Эти схемы, однако, чувствительны к изменениям параметров элементов (особенно при высокой добротности) и не пригодны для построения универсальных программируемых фильтров. Поэтому в составе ИМС фильтров используются схемы, построенные на основе метода переменных состояния. В таких схемах реализуется решение дифференциальных уравнений, описывающих процессы в фильтрах. Схема двухполюсного фильтра, постороенного на основе метода переменных состояния, приведена на рис. 21. Эта схема широко применяется благодаря повышенной устойчивости и легкости регулировки. Схема состоит из двух интеграторов и двух сумматоров. Напряжение на выходе второго сумматора

Поскольку
U2 = –Uвых/S и Uвых = –U1/S | (24) |
(S=sRfC), передаточная функция фильтра имеет вид:
![]() |
(25) |
